Voorbeeld titelpagina rapport zakelijke, voorbeeld rapport, voorbeeld titelpagina rapport zakelijk recht, voorbeeld titelpagina rapport zakelijk schrijven engels, voorbeeld titelpagina rapport zakelijk leider, voorbeeld titelpagina rapport zakelijk schrijven vervoegen, voorbeeld titelpagina rapport zakelijk belastingdienst, voorbeeld titelpagina rapport zakelijk schrijven picto, voorbeeld titelpagina rapport zakelijk schrijven synoniem, voorbeeld titelpagina rapport zakelijk schrijven oefenen, voorbeeld titelpagina rapport zakelijk leasen, voorbeeld titelpagina voorbeeld, voorbeeld titelpagina rapport zakelijk overeenkomst, voorbeeld titelpagina verslag, voorbeeld titelpagina rapport zakelijk zonnepanelen.
Voorbeeld rapport parnassys. Our blog have portraits similar to Parnassys totaal, voorbeeld rapport basisschool de havenrakkers 2 portfolio, english, perspectiefverklaring aanvragen hoe werkt het? jobbird in images, backgrounds, and more. On these pages, This web also had a variety of portraits available. Such as PNG files, jpg files, animated images, artwork, logos, black and white, transparent, etc.

Parnassys Totaal. Parnassys totaal
Digitaal Rapport ParnasSys.

Rapport In ParnasSys By Connie Vd Bruinhorst.

Voorbeelden Van Een Digitaal Schoolrapport. Voorbeelden rapport basisschool digitaal groep schoolrapport

Parnassys Totaal. Parnassys totaal rapport digitaal

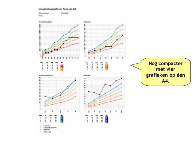
10 Best Rapporten Images On Pinterest Elk, Jay And Moose. Rapport voorbeeld basisschool rapporten teaching

Digitaal Rapport Voor Iedere Basisschool Divari. Rapport voorbeeld basisschool divari
Leerlingvolgsysteem Gerard Dummer. Leerlingvolgsysteem parnassys werken handelingsgericht presentatie studenten dummer effi georganiseerd hebben oosterwijk liet

Parnassys Totaal. Parnassys totaal voorbeelden

Rapportagevoorbeeld DigiDAssessment NAAM. Voorbeeld rapportage digid

Divari, Digitaal Rapport Voor Elke Basisschool YouTube. Rapport basisschool digitaal

Rapport Voorbeeld.

Parnassys Totaal. Parnassys totaal digitaal rapport

11 Best Images About Onderwijs Rapporten On Pinterest Assessment. Rapport digitaal

Voorbeeld Rapport Basisschool De Havenrakkers 2 Portfolio, English. Voorbeeld basisschool rapporten schoolrapport voorbeelden

Groepsplan Maken ParnasSys YouTube. Maken

Parnassys Totaal. Parnassys totaal

Voorbeeld Rapport Basisschool De Koningslinde 5 Basisschool. Rapport voorbeeld voorbeelden basisschool schoolrapport rapporten

Perspectiefverklaring Aanvragen Hoe Werkt Het? Jobbird.
Het Nieuwe Rapport • SBS Munsterbilzen – Hoelbeek – Martenslinde. Rapport voorbeeld een munsterbilzen nieuw
Meer Info Offerte.

Voorbeeld Rapport Tekstjes – Juf Kort. Rapport rapporten tekstjes instagram
Het Lesrooster In ParnasSys Driestar Educatief. Lesrooster parnassys voorbeeld driestar educatief dagplanning kun vervolgens opvragen rooster

Voorbeeld Titelpagina Rapport Zakelijk Schrijven. Voorbeeld rapport titelpagina titelblad voorblad schrijven 23t12 horst afke zakelijkschrijven

Digitaal Rapport Voor De Basisschool Divari. Rapport voorbeeld basisschool digitaal divari








![Offerte Frans Voorbeeld [Gratis Download]](https://voorbeelden.org/wp-content/uploads/Trefwoorden-Wonen-en-kopen-in-Frankrijk-voor-CB-Libris-3.jpg)











